1. 서 론
2. 자가센싱 급속 보수재료의 전기역학적 응답
3. 실험 프로그램
3.1 재료 및 시험체 준비
3.2 실험 방법
4. 실험 결과
5. 고 찰
5.1 SRMs의 전기역학적 특성에 대한 재령의 영향
5.2 SRMs의 전기역학적 특성에 대한 상대습도의 영향
6. 결 론
1. 서 론
최근 전 세계적으로 구조물의 붕괴 사고가 빈번히 발생하고 있다. 이탈리아 모란디교(2018), 미국 플로리다 아파트(2021), 분당 정자교(2023) 등 다양한 사례에서 알 수 있듯이, 균열 및 조기 열화로 인한 콘크리트 구조물의 붕괴는 심각한 인명 피해와 재산 손실을 초래하고 있다. 이와 같은 사례는 콘크리트 구조물의 장기적 건전성 확보를 위한 적절한 유지관리 및 모니터링 기술의 필요성을 대두시키고 있으며, 이에 따라 구조물 건전성 모니터링(structural Health Monitoring, SHM) 기술에 대한 연구가 활발히 진행되고 있다. 특히 콘크리트 구조물의 균열은 구조적 성능 저하의 주요 원인으로 작용하며, 누수, 철근 부식 유도, 내구성 저하와 같은 추가적인 문제점들을 초래할 수 있다. 따라서 균열 발생 이후의 적절한 보수와 더불어 보수 부위의 상태에 대한 정확한 평가는 구조물의 장수명화를 위해 필수적으로 수행되어야 한다.
현재까지 콘크리트 구조물을 점검하기 위해 개발된 SHM 기술로는 크게 접촉식, 매립식, 비접촉식 기술이 개발되어 적용되고 있다. 접촉식 기술로는 변형률 게이지, 충격반향법(Sun et al. 2018), 탄성파(Aggelis et al. 2009), 초음파(Rabe et al. 2023) 센서 등이 대표적이며, 매립식으로는 압전 센서(Gastineau et al. 2009), 스마트 골재(Zhang et al. 2022)가 활용된다. 비접촉식 기술로는 드론 기반 영상 촬영(Thurnherr et al. 2025), 열화상 이미지(Park et al. 2022) 기반 시스템 등 다양한 기술들이 개발되어 왔다. 이 중에서도, 균열 보수 상태를 평가하기 위해 탄성파 토모그래피(Hashimoto et al. 2019), 초음파 신호(Souza and Pinto 2020), 스마트 골재(Lan et al. 2024) 기술 등이 개발되어 왔으나, 신호의 주파수 의존성, 측정 위치의 민감성, 센서 설치의 복잡성 등으로 인해 아직까지는 보수 상태를 정확하게 점검하기 힘들다. 특히, 현장에서는 여전히 육안조사 및 작업자의 경험에 의존하는 경우가 많아 신뢰성 확보에 한계가 존재한다.
이러한 한계점을 보완하기 위한 대안으로 전기저항 기반 자가센싱 기술이 주목받고 있다. 자가센싱 콘크리트는 외부 하중이나 손상에 의해 발생하는 전도성 네트워크의 변화에 따라 재료 내부의 전기저항이 변동하는 특성을 이용하여 응력, 변형, 손상을 감지한다(Han et al. 2014). 현재까지 많은 연구자들이 자가센싱 능력이 극대화된 자가센싱 콘크리트를 개발하기 위해 카본블랙(Ding et al. 2019), 다중벽탄소나노튜브(Lee et al. 2019), 그래핀(Yoo et al. 2017). 강섬유(Kim et al. 2022), 니켈(Le et al. 2021) 등의 다양한 전도성 기능성 충전재를 활용하여 왔다. 하지만 자가센싱 콘크리트를 사용하여 구조물을 통합적으로 모니터링하기 위해서는 구조물 전체를 자가센싱 콘크리트로 제작해야 하며, 이로 인한 고가의 재료비용과 시멘트 사용량 증가가 경제성 확보의 큰 장애요소로 작용하였다. 이에 따라 본 연구에서는 구조용 콘크리트로서가 아닌 보수재료로서 자가센싱 기술을 적용하는 새로운 접근방식을 제안한다. 즉, 보수재료 자체에 전도성을 가지는 기능성 재료를 혼입하여 보수 이후의 충진도, 균열 및 단면 보수 부위의 응력 및 손상 상태를 전기저항 변화만으로 감지할 수 있는 자가센싱 급속 보수재료(self-sensing rapid repair material, SRM)를 개발하였다(Kim et al. 2023). 특히, 본 연구에서는 기능성 재료로서 경제성이 우수한 제강슬래그 잔골재(fine steel slag aggregates, FSSAs)를 활용하였다. FSSAs는 기존의 고가 기능성 재료에 비해 상대적으로 저렴한 단가를 가지며, 매트릭스 내부에 다수의 부분적인 전도성 경로를 형성하여 자가감지 성능을 효과적으로 확보할 수 있으며, 압축강도와 유동성을 향상시킨다는 장점을 가진다(Lee et al. 2019; Le et al. 2020). 선행연구에서는 FSSA 혼입률 변화에 따라 자가센싱 성능이 최적화됨을 확인하였으며, SRM의 전기역학적 특성이 재령 초기에도 우수하게 발현됨을 확인하였다(Kim et al. 2023).
그러나 자가센싱 콘크리트 및 보수재료의 실용화를 위해서는 반드시 외부 환경변수의 영향을 규명할 필요가 있다. 시멘트 복합재료의 전기저항은 온도 및 상대습도(relative humidity, RH) 변화에 민감하게 영향을 받으며, 이는 잘못된 평가로 연결될 수 있기 때문이다. 일반적으로, 온도가 상승할수록 내부 이온의 움직임의 증가와 터널링 효과의 향상 등으로 인해 전기저항이 감소하고, 상대습도가 증가하면 매트릭스 내부 공극의 물 함량의 증가로 인해 전기저항이 감소한다(Han et al. 2014; Lee et al. 2019). 현재까지 자가센싱 콘크리트의 전기저항에 대한 상대습도의 영향이 다수 조사되어 왔으나(Han et al. 2014), 콘크리트 배합에 따라 상대습도가 미치는 영향 정도가 다르며(Lee et al. 2019; Kim et al. 2023), 초기 재령에서의 상대습도의 영향 조사는 아직 부족한 실정이다. 특히 급속 경화 재료의 경우, 초기 재령에서 수화반응이 급격하게 발생하기 때문에 이 때의 전기역학적 특성에 대한 상대습도의 영향이 명확히 조사될 필요가 있다. 따라서 본 연구에서는 실시간 모니터링 기반의 보수부위 상태평가 시스템 구축을 위한 기초연구로서 SRM의 전기역학적 특성이 다른 상대습도 조건 하에서 어떻게 변화하지는지 조사하고자 한다. 이를 통해 SRMs의 현장 적용성을 확보하고, 추후 실험 데이터를 활용하여 전기저항 측정만을 통해 교량 등에 대한 균열 및 단면 보수 후 보수 부위의 응력 및 손상 상태를 간편하고 효율적으로 점검할 수 있는 모니터링 기술을 개발할 수 있을 것으로 기대한다.
본 연구의 최종 목표는 SRM을 활용한 보수부위 상태평가 기술의 개발을 위해 SRM의 전기역학적 특성들에 대한 상대습도의 영향을 조사하는 것이다. 이를 달성하기 위한 세부 목표는 (1) 재령에 따른 SRM의 전기역학적 응답 조사, (2) SRM의 초기 전기저항에 대한 상대습도의 영향 조사, 그리고 (3) SRM의 전기역학적 응답에 대한 상대습도의 영향 조사이다.
2. 자가센싱 급속 보수재료의 전기역학적 응답
Fig. 1에는 SRM의 일반적인 전기역학적 응답을 나타내었다. SRM은 외부 하중이 가해짐에 따라 재료 내부의 전도성 네트워크가 변화하고, 이에 따라 전기저항이 변동하는 특성을 갖는다(Kim et al. 2023). 이러한 전기저항 변화는 SRM에 혼입된 기능성 재료의 종류, 혼입량, 재령 등에 영향을 받아 달라진다. SRM의 전기저항은 일반적으로 하중이 증가함에 따라 감소하는 경향을 보인다. 하중이 증가함에 따라 시멘트 매트릭스 내 존재하는 전도성 재료인 FSSAs 입자 간의 간격이 감소하면서 입자들 간의 접촉이 증가하고, 터널링 효과(tunneling effect)가 향상됨에 따라 부분적으로 단절되어 있던 전도성 경로들이 새롭게 연결된다. 이로 인해 부분적인 전도성 경로가 연속적인 전도성 경로로 바뀌게 된다. 따라서, 연속적인 전도성 경로의 수가 증가하고 전류 흐름이 원활해짐에 따라 전기저항이 감소하게 된다. Kim et al. (2021)은 압축 하중이 작용하는 조건에서 스마트 초고강도 콘크리트(smart ultra-high performance concretes, S-UHPCs)의 전기역학적 반응을 Fig. 2와 같이 총 세 단계로 구분하여 설명하였다. 첫 번째 단계인 탄성 구간에서는 하중 증가에 따라 전기저항이 완만하고 선형적으로 감소한다. 두 번째 단계인 비탄성 구간에서는 미세균열의 발생 및 성장으로 인해 전기저항 감소 속도가 상대적으로 빨라지며 선형적인 감소가 지속된다. 마지막으로, 파괴 이후 단계에서는 전도성 경로가 대부분 단절되면서 전기저항이 급격히 감소하고 이후에는 거의 일정하게 유지된다. 이때 S-UHPCs는 일반 시멘트 복합체와 달리, 최대 응력 도달 이후에도 강섬유의 가교 작용으로 인해 균열 확산이 진행되더라도 전기저항의 급격한 변화가 발생하지 않는다. 강섬유가 보강되는 S-UHPCs와는 다르게, FSSAs만이 혼입되는 SRMs의 전기저항은 압축응력이 최대 지점에 도달하면 재료가 파괴되며 전도성 경로가 차단됨에 따라 급격하게 증가한다(Kim et al. 2023).
자가센싱 콘크리트의 센싱 능력 평가는 하중 재하 과정에서 측정된 전기저항(electrical resistance, R)을 활용하여 수행된다. 측정된 전기저항을 사용하여, 식 (1)과 (2)을 통해 전기저항 변화율(fractional change in the electrical resistance, FCR)과 응력 민감도(stress sensitivity coefficient, SSC)를 계산함으로써 자가센싱 콘크리트의 자가센싱 능력을 정량화할 수 있다. FCR은 초기 전기저항과 비교하였을 때 측정된 전기저항의 변화율을 의미하고, SSC는 압축응력이 1 MPa 증가함에 따른 FCR의 변화를 의미하며 압축응력의 변화에 따라 FCR이 얼마나 민감하게 변화하는지를 나타내는 지표이다. FCR과 SSC는 모두 자가센싱 콘크리트의 센싱 능력을 평가하기 위한 지표로 활용 가능하다.
여기서 는 시험체의 단면적, 은 전극 설치 간격, 는 SRMs의 초기 전기저항, 는 최대 응력 지점에서 측정된 SRMs의 전기저항, 는 전기저항 변화량, 는 압축응력이다.
SRMs의 전기역학적 특성은 일반적인 자가센싱 콘크리트와 마찬가지로 압축응력이 증가함에 따라 전기저항이 감소하는 경향을 보인다. 하지만, SRMs의 초기 전기저항 뿐만 아니라, 압축응력 증가에 따른 전기저항의 감소 정도는 온도와 습도의 변화에 따라 달라진다. 따라서, 단순히 전기저항만을 측정하는 것만으로는 SRMs의 현재 응력 상태를 정확하게 점검하기에는 한계가 있다. SRMs를 기반으로 한 보수 부위 상태 모니터링 시스템을 개발하기 위해서는 SRMs의 전기역학적 특성에 대한 온도와 습도의 영향이 명확히 고려되어야 한다. 따라서, 본 연구에서는 환경 영향성 평가를 위한 기초 연구로서 다양한 습도 조건을 적용하여 SRMs의 전기역학적 특성을 초기 재령(24시간 이내)에서 조사하였다.
3. 실험 프로그램
3.1 재료 및 시험체 준비
Table 1에는 SRMs의 혼합 비율을 나타내었다. 시멘트는 ㈜쌍용양회에서 생산된 초속경 시멘트(rapid setting cement)를 사용하였으며, 골재로는 입경이 0.3 mm 이하인 모래를 사용하였다. 전도성을 가지는 기능성 재료로는 최대 입경 0.39 mm의 구형 제강슬래그 잔골재(FSSAs)를 사용하였다. 응결 지연을 위해 함수구연산을 사용하였으며, 시멘트 중량 대비 0.4%만큼 첨가하였다. SRMs의 유동성 확보를 위해 폴리카르복실산계 감수제(super-plasticizer, SP)를 사용하였으며, 시멘트 중량 대비 0.3%만큼 첨가하였다. 물-시멘트비는 0.6이다.
Table 1.
Composition of SRMs by weight ratio (Kim et al. 2023)
| Rapid setting cement | Water | Sand* | FSSAs | SP** | Setting retarder |
| 1.0 | 0.6 | 2.25 | 0.75 | 0.003 | 0.004 |
3.2 실험 방법
SRMs의 전기역학적 응답 조사를 위한 시험체는 Fig. 2에 나타낸 바와 같이 50 × 50 × 200 mm3의 프리즘형 시험체를 사용하였다. SRMs 제작을 위해 초속경 시멘트, 모래, 그리고 FSSAs를 5분간 건믹스하였다. 건믹스 후 3분 동안 물을 넣고 섞었으며, 물을 모두 투입한후 SP를 첨가하였다. 섞인 모르타르는 금형 몰드에 약간의 진동(3000 rpm)과 함께 타설되었다. 타설이 완료된 시험체는 재령 조건 적용을 위해 3시간, 7시간, 그리고 24시간동안 20 ± 2°C에서 기건 양생되었다.
SRMs의 전기저항 측정을 위한 전극은 구리 와이어메쉬를 사용하였다. 이전 연구(Kim et al. 2023)에서는 SRMs의 전기저항 측정을 위해 구리 테이프를 사용하였으며, 2탐침 저항법을 활용하였다. 하지만, 구리 와이어를 매립하는 것보다 구리 테이프를 부착하여 측정하는 것이 더 간편하지만, 구리테이프는 전도성이 높은 실버 페이스트를 콘크리트 표면에 코팅하고 부착함에도 콘크리트 표면과의 접촉저항으로 인해 계측 결과가 정확하지 않다는 단점이 있다(Chung 2022). 또한 2탐침 저항법의 경우 측정은 보다 간편하지만 계측 결과가 접촉저항에 민감하게 변화하며, 하중 및 변형에 의해 콘크리트 표면과 전극 사이의 전도성 페이스트 두께가 변화함에 따라 접촉저항이 달라질 경우 오차가 발생할 수 있다는 한계점이 있다(Chung 2022; Cho et al. 2024). 따라서, 더욱 정확한 구조물 모니터링을 위해서는 매립식 전극을 사용하고 접촉저항의 영향을 거의 받지 않는 4탐침 저항법을 활용하는 것이 더 적합하므로, 본 연구에서는 4개의 구리 와이어메쉬 전극을 전극 간 거리 50 mm로 적용하여 매립하였다(Fig. 2 참조).
압축 하중은 300 kN 용량의 만능재료시험기(universal testing machine, UTM)를 사용하여 1 mm/min의 변위 제어를 통해 적용하였다. 상대습도 조건은 총 4가지로, 40%(RH40), 60%(RH60), 80%(RH80), 100%(RH100)가 적용되었으며, 실험 결과의 비교를 위해 온도는 모두 공통적으로 25°C로 고정하였다. 온도와 상대습도 조건은 항온항습기(JeioTech, TH-TG-180)를 사용하여 적용하였다.
SRMs의 전기저항 측정을 위해 alternative current (AC) 기반의 SI1260 impedance/gain-phase analyzer machine (Solatron, 1260 A)을 사용하였다. 인가된 전류의 진폭은 3.0 Vrms이며, 고정 주파수 결정을 위해 적용한 주파수의 범위는 1 Hz ~ 10 MHz이다. SRMs의 전기역학적 응답은 재령 3시간(3H), 7시간(7H), 24시간(24H)에서 조사되었으며, 3개의 시험체에 대한 실험 결과를 평균하였다.
4. 실험 결과
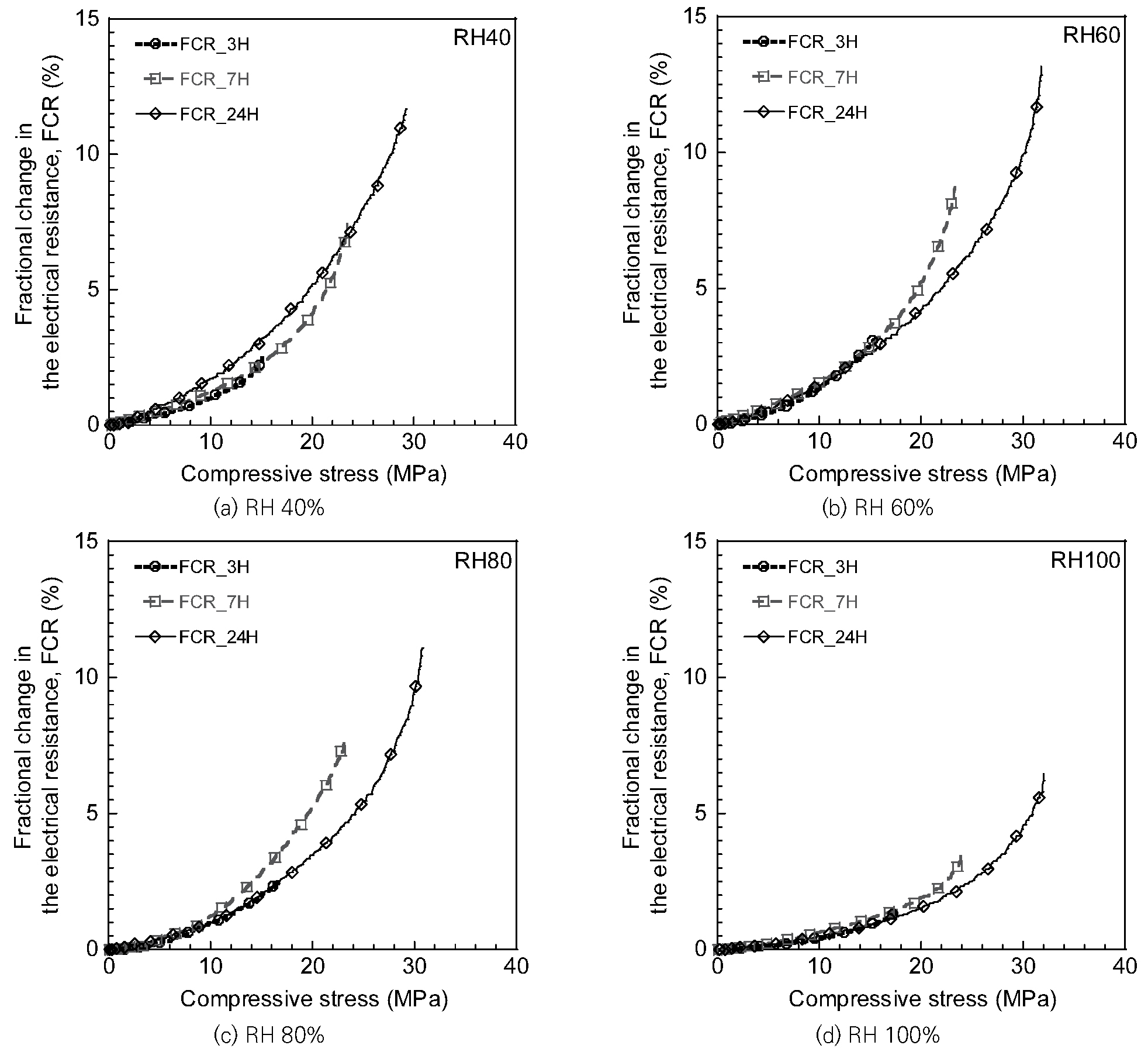
Fig. 3에는 다른 재령과 상대습도 조건에서 조사된 SRMs의 전기역학적 특성을 통해 도출된 압축응력-FCR 그래프를 나타내었으며, Table 2에는 재령과 상대습도에 따라 조사된 SRMs의 전기역학적 특성과 표준편차를 나타내었다. SRMs의 전기저항은 재령과 상대습도에 관계없이 압축응력이 증가함에 따라 감소하였다. 예를 들어, 상대습도 60% 조건에서 재령 24시간일 때 SRM의 전기저항은 압축응력이 0에서 31.75 MPa로 증가함에 따라 4.637에서 4.028 kΩ으로 감소하였다. 하지만, 전기저항의 감소 정도는 재령과 상대습도 조건에 따라 명확하게 변화하였다. 상대습도가 100%일 때 SRM의 전기저항은 재령 24시간에서 압축응력이 0에서 32.03 MPa로 증가함에 따라 1.216에서 1.138 kΩ으로 상대습도가 60%일 때보다 상대적으로 적게 감소하였다. 상대습도와 관계없이, FCR 및 SSC는 재령 24시간에서 가장 높게 나타났다. 특히, 상대습도 60%에서 SRM의 FCR과 SSC는 각각 13.13%와 0.414 %/MPa로 자가센싱 능력이 가장 높게 나타났다.
Table 2.
Electromechanical properties of SRMs corresponding to different age and RH conditions
| Notation | (MPa) | (kΩ) | (kΩ) | (kΩ) | FCR (%) | SSC (%/MPa) | |
| RH40 | 3H | 15.07 (3.02)* | 0.787 (0.030) | 0.767 (0.031) | 0.020 (0.002) | 2.55 (0.31) | 0.172 (0.014) |
| 7H | 23.43 (0.87) | 1.732 (0.008) | 1.604 (0.013) | 0.128 (0.006) | 7.41 (0.37) | 0.316 (0.012) | |
| 24H | 29.23 (1.40) | 5.556 (0.129) | 4.909 (0.152) | 0.647 (0.064) | 11.67 (1.21) | 0.398 (0.024) | |
| RH60 | 3H | 15.55 (0.46) | 0.630 (0.016) | 0.610 (0.015) | 0.021 (0.002) | 3.28 (0.25) | 0.211 (0.011) |
| 7H | 23.37 (1.39) | 1.456 (0.033) | 1.325 (0.036) | 0.132 (0.003) | 9.05 (0.42) | 0.387 (0.008) | |
| 24H | 31.75 (0.49) | 4.637 (0.088) | 4.028 (0.068) | 0.609 (0.047) | 13.13 (0.86) | 0.414 (0.032) | |
| RH80 | 3H | 16.58 (0.62) | 0.534 (0.011) | 0.521 (0.011) | 0.013 (0.001) | 2.44 (0.05) | 0.147 (0.005) |
| 7H | 23.11 (0.70) | 1.124 (0.021) | 1.040 (0.015) | 0.084 (0.006) | 7.46 (0.37) | 0.323 (0.015) | |
| 24H | 30.74 (0.96) | 3.109 (0.013) | 2.764 (0.020) | 0.345 (0.014) | 11.10 (0.46) | 0.361 (0.022) | |
| RH100 | 3H | 17.45 (0.56) | 0.410 (0.011) | 0.404 (0.011) | 0.006 (0.001) | 1.54 (0.10) | 0.089 (0.003) |
| 7H | 23.92 (0.80) | 0.619 (0.016) | 0.598 (0.015) | 0.021 (0.002) | 3.39 (0.24) | 0.142 (0.012) | |
| 24H | 32.03 (1.29) | 1.216 (0.010) | 1.138 (0.010) | 0.078 (0.003) | 6.44 (0.21) | 0.201 (0.007) | |
5. 고 찰
5.1 SRMs의 전기역학적 특성에 대한 재령의 영향
SRMs의 전기역학적 응답은 재령과 상대습도에 관계없이 압축응력이 증가함에 따라 전기저항이 감소하는 경향을 보였다. 일반적으로, 하중에 의해 압축변형이 발생함에 따라 매트릭스 내의 전도성 재료(FSSAs, 공극수)의 거리가 감소한다(Han et al. 2014). 입자들 사이의 거리가 가까워지고, 서로 맞닿은 전도성 재료들 사이에서 전도성 경로가 형성됨에 따라, SRMs의 전기저항이 감소하게 된다. 이후, 압축응력이 최대 지점에 도달하게 되면 균열이 급격히 확장됨에 따라 전도성 경로가 차단되어 전기저항이 급격하게 증가한다. 하지만, 재령이 변화함에 따라 SRMs의 초기 전기저항과 하중이 증가함에 따른 전기저항 변화가 달라져 전기역학적 특성이 달라졌다.
SRMs의 자가센싱 능력은 일반적으로 재령이 증가함에 따라 증가하는 경향을 보였다. 예를 들어, 상대습도 60%에서 재령이 3시간에서 24시간으로 증가함에 따라 FCR과 SSC는 각각 3.28%에서 13.13% 그리고 0.211에서 0.414 %/MPa로 증가하였다. 재령 3시간에서는 매트릭스 내에 수화반응에 참여하지 않은 물의 함량이 많다(Kim et al. 2023). 따라서, 물이 많이 함유되어 있는 매트릭스 내의 공극과 전도성 재료인 FSSAs를 통해 다수의 연속적인 전도성 경로가 형성됨에 따라 전도성 네트워크가 안정되어 외부 하중이 가해짐에도 전도성 경로의 변화가 활발하게 일어나지 않는다. 특히, 상대습도 100% 조건에서 재령이 3시간일 때 SRM의 전기저항은 압축응력이 0에서 17.45 MPa로 증가함에 따라 0.410에서 0.404 kΩ으로 0.006 kΩ만이 감소하였다.
재령이 3시간에서 7시간으로 증가하게 되면, 매트릭스 내 공극에 함유된 물이 수화반응에 참여함에 따라 물 함량이 감소하게 된다. 이에 따라, 공극 내 함유된 물과 FSSAs로 이루어진 연속적인 전도성 경로가 끊기게 되어 부분적인 전도성 경로로 변화한다. 변화된 부분적인 전도성 경로는 외부 하중이 가해짐에 따라 연속적인 전도성 경로를 형성하여 전기저항을 감소시키게 된다. 따라서, 재령이 3시간에서 7시간으로 증가함에 따라, FCR과 SSC가 증가하게 된다. 예를 들어, 상대습도가 60%일 때 FCR과 SSC는 재령이 3시간에서 7시간으로 증가함에 따라 3.28에서 9.05% 그리고 0.211에서 0.387 %/MPa로 증가하였다.
마지막으로, 재령이 7시간에서 24시간으로 증가하면 매트릭스 내 물 함량이 수화반응의 지속에 따라 급격히 감소하며, 이에 따라 압축 강도는 상대습도가 60%일 때 23.37에서 31.75 MPa로 증가하고, 초기 전기저항은 1.456에서 4.637 kΩ으로 급격하게 증가한다. 수화반응의 지속으로 인해 매트릭스 내의 물의 함량이 감소함에 따라, 매트릭스 내의 연속적인 전도성 경로들이 대부분 부분적인 전도성 경로로 분리되게 된다. 따라서, 외부하중이 가해졌을 때 가장 높은 자가센싱 능력(FCR과 SSC)를 보인다. 예를 들어, 상대습도가 60%일 때 재령 24시간 FCR과 SSC는 각각 13.13%와 0.414 %/MPa로 가장 높은 수치를 보였다.
5.2 SRMs의 전기역학적 특성에 대한 상대습도의 영향
Fig. 4에는 SRMs의 전기역학적 특성인 초기 전기저항과 자가센싱 능력(FCR)에 대한 상대습도의 영향을 그래프로 나타내었다. SRMs의 초기 전기저항은 재령에 관계없이 상대습도가 증가함에 따라 감소하였다. 예를 들어, 재령 24시간 기준 초기 전기저항은 상대습도가 40%에서 100%로 증가함에 따라 5.556에서 1.216 kΩ으로 감소하였다. 이는 상대습도가 증가함에 따라 매트릭스 내 공극의 물 함량이 증가하여 매트릭스 내에 물과 FSSAs로 이루어진 부분적인 전도성 경로가 연결되어 연속적인 전도성 경로로 변화함에 따라 전류의 전달이 원활해지기 때문이다(Han et al. 2014).
SRMs의 전기역학적 응답은 Fig. 4에서 보는 바와 같이 상대습도에 관계없이 압축응력이 증가함에 따라 감소하였다. 특히, 상대습도 60% 조건에서 재령 24시간일 때 SRM의 전기저항은 압축응력이 0에서 31.75 MPa로 증가함에 따라 4.637에서 4.028 kΩ으로 13.13% 감소하여 가장 큰 전기저항 감소량을 보였다. 상대적으로 매우 건조한 상태인 상대습도가 40% 조건에서는 매트릭스 내에 물 함량이 물과 FSSAs로 이루어진 부분적인 전도성 경로의 수가 적다. 이에 따라, 외부 하중이 가해지더라도 부분적인 전도성 경로가 많이 연결되지 못하여 연속적인 전도성 경로로의 변화가 활발하게 발생하지 않는다. 따라서, 자가센싱 능력(FCR과 SSC)이 상대적으로 낮게 나타난다. 상대습도 증가에 따른 전도성 네트워크 변화 메커니즘은 매트릭스 내 자유수(free water)의 변화와 밀접하게 관련된다. 선행연구에 따르면, 상대습도가 상승할수록 공극 내 자유수가 흡착 및 응축되어 전해질 용액의 연속성이 증가하며, 이로 인해 이온전도가 활발해지고 접촉저항이 감소한다(Han et al. 2010). 상대습도가 60%까지 증가할 경우 자유수가 부분적인 전도성 경로를 연결하는 매개체로 작용하여 매트릭스 내에서 전류 흐름이 용이해지고, 하중에 의한 터널링 및 접촉 전도의 변동성이 증가한다. 이로 인해 응력-전기저항 관계가 민감하게 반응하며 FCR과 SSC가 최대화된다. 그러나 상대습도가 80% 이상이면, 과도한 자유수 증가로 인해 대부분의 전도성 경로가 상시 연결된 연속적 네트워크로 고정되며, 이는 하중에 따른 경로의 동적 재구성이 제한되고 자가센싱 성능이 오히려 감소하게 된다(Abedi et al. 2024).
SRMs의 전기역학적 특성은 상대습도가 변화함에 따라 민감하게 변화하였다. 이러한 실험 데이터를 기반으로, 전기저항 측정을 통해 SRMs의 응력 상태를 역으로 추정하는 방법을 개발할 수 있을 것으로 판단된다. 하지만, 상대습도 이외에 SRMs의 전기역학적 특성에 대한 온도의 영향이 추가적으로 조사될 필요가 있다.
6. 결 론
본 연구에서는 콘크리트 표면 균열 보수 및 단면 보수 후 전기저항 측정만으로 보수 부위의 응력 및 손상 상태를 감지할 수 있는 자가센싱 급속 보수재료(self-sensing rapid repair materials, SRMs)의 적용성을 확보하기 위해 SRMs의 전기역학적 특성에 대한 상대습도의 영향을 조사하였다. SRMs의 전기역학적 특성은 4가지 상대습도 조건(40%, 60%, 80%, 100%)에서 재령 3시간, 7시간, 24시간에 조사하였으며, 실험 결과를 통해 다음과 같은 결론을 도출할 수 있었다.
1) SRMs의 전기역학적 응답은 재령과 상대습도와 관계없이 압축응력이 증가함에 따라 매트릭스 내의 전도성 재료들 사이 거리 감소로 인해 전기저항이 감소하는 경향을 보였다. 예를 들어, 상대습도 60% 조건에서 재령 24시간일 때 SRM의 전기저항은 압축응력이 0에서 31.75 MPa로 증가함에 따라 4.637에서 4.028 kΩ으로 감소하였다.
2) SRMs의 fractional change in the electrical resistance(FCR)과 stress sensitivity coefficient(SSC)는 재령이 3시간에서 24시간으로 증가함에 따라 지속되는 수화반응으로 인한 공극 내 물 함량 감소로 부분적인 전도성 경로 수가 증가하여 향상되었다. 예를 들어, 상대습도 60%에서 재령이 3시간에서 24시간으로 증가함에 따라 FCR과 SSC는 각각 3.28%에서 13.13% 그리고 0.211에서 0.414 %/MPa로 증가하였다.
3) SRMs의 초기 전기저항은 상대습도가 증가함에 따라 공극 내 물 함량이 증가하며 매트릭스 내의 전도성 경로가 연결되고, 전류의 흐름이 원활해져 감소하였다. 예를 들어, 재령 24시간 기준 초기 전기저항은 상대습도가 40%에서 100%로 증가함에 따라 5.556에서 1.216 kΩ으로 감소하였다.
4) SRMs의 자가센싱 능력(FCR과 SSC)는 상대습도가 40%에서 60%로 증가함에 따라 매트릭스 내 공극의 자유수 함량이 증가하고 이온전도성이 향상되어 부분적인 전도성 경로의 수가 증가하여 향상되었다. 그러나 상대습도가 80% 이상으로 증가하면, 과도한 자유수 증가로 인해 대부분의 전도성 경로가 상시 연결된 연속적 네트워크로 고정되고, 이로 인해 하중에 따른 전도성 경로의 동적 재구성이 제한되어 자가센싱 민감도가 감소하였다. 예를 들어, 재령 24시간 기준 SRMs의 FCR과 SSC는 상대습도가 40%에서 60%로 증가함에 따라 11.67에서 13.13% 그리고 0.398에서 0.414 %/MPa로 증가하였으나, 상대습도가 100%로 증가함에 따라 13.13에서 6.44% 그리고 0.414에서 0.201 %/MPa로 감소하였다.
SRMs의 전기저항은 재령과 상대습도에 관계없이 압축응력에 민감하게 변화하였으며, 실험 데이터를 기반으로 전기저항 측정만을 통해 교량 바닥판과 거더 등에 대한 균열 및 단면 보수 후 보수 부위의 응력 및 균열 상태를 효과적으로 점검할 수 있는 모니터링 기술을 개발할 수 있을 것으로 기대한다. 하지만, 상대습도와 마찬가지로 온도 또한 콘크리트의 전기저항에 큰 영향을 미침에 따라, 다양한 온도 조건 및 상대습도 조건을 적용하여 SRMs의 전기역학적 특성을 조사할 필요가 있다.






