1. 서 론
2. 인장 이형철근 정착길이 설계기준
2.1 Eurocode 2와 콘크리트교 설계기준 KDS 24 14 21
2.2 ACI 318-19와 콘크리트구조 설계기준 KDS 14 20 52
2.3 콘크리트교 설계기준과 콘크리트구조 설계기준의 설계정착길이 비교
3. 콘크리트교 설계기준 KDS 24 14 21의 설계정착길이 평가
3.1 선행연구 실험자료
3.2 직선 정착 영향인자 분석
3.3 설계정착길이 계산식과 실험값의 경향 분석
3.4 철근 항복강도 증가에 따른 안전성 분석
4. 결 론
1. 서 론
철근콘크리트는 압축강도에 비하여 인장강도가 매우 작은 콘크리트의 단점을 보완하도록 인장부에 철근을 보강한 합성 구조이므로 두 재료가 일체화된 상태로 외력에 저항하여야 한다. 따라서 철근콘크리트에서 철근의 정착성능은 매우 중요한 구조성능 중 하나이다. 콘크리트에 묻힌 이형철근은 점착력, 마찰력, 지압력에 의해 철근 표면과 마디로부터 콘크리트에 힘을 전달한다. 철근에 인장력이 작용하면 포아송 효과에 의해 점착력과 마찰력은 빨리 상실되어 주로 마디의 지압에 의해 힘이 전달된다. 철근 주변 콘크리트에는 철근 마디의 지압력과 크기가 같고 방향이 반대인 힘이 작용하는데, 이 힘은 철근의 축방향 분력과 반지름 방향 분력으로 구분할 수 있다. 철근의 반지름 방향 분력은 콘크리트에 원주 방향으로 인장응력이 작용하게 하여 피복 콘크리트가 철근을 따라 쪼개지는 쪼갬균열이 발생할 수 있다. 쪼갬균열이 발생하면 균열폭이 커지는 것을 억제하는 구속철근이 배치되지 않는 한 부착전달력이 급격히 감소되어 정착파괴가 발생한다. 쪼갬균열은 철근 중심에서 콘크리트 표면까지 가장 가까운 방향으로 발생하므로, 피복두께 및 철근 순간격은 부착강도의 중요한 변수로 작용한다. 또한 쪼갬균열이 발생하는 응력은 콘크리트 강도에 영향을 받으며, 철근이 항복할 때까지 정착파괴가 발생하지 않아야 하므로 철근의 묻힘길이(embedment length), 즉 소요 정착길이는 콘크리트 압축강도 또는 인장강도와 철근의 항복강도를 변수로 한다(Lee 2023; Wight and MacGregor 2012). 콘크리트에 묻힌 철근의 부착 거동 관찰이나 계측은 쉽지 않으며 변수가 다양하고 복합적으로 작용하므로 국내·외 설계기준의 정착길이 설계식은 실험연구를 바탕으로 개발되었다. 이때의 실험은 실제 철근콘크리트 부재가 갖는 모든 조건을 나타내기 어려우므로, 정착길이 설계식 개발과 관련된 다수의 실험연구에서는 인장철근을 모두 겹침이음한 보 실험으로 수행되었다(ACI 408R-03 2003). 이 실험은 인장철근이 겹침이음부에서 정착파괴 되도록 연구자가 선정한 길이로 철근을 겹침이음하여 보 실험체를 제작하고, 순수휨모멘트가 작용하는 조건으로 하중을 가하는 과정으로 수행한다. 실험결과로 정착파괴가 발생한 철근 응력을 구하면, 그 응력을 철근 항복응력으로 취급하고 실험체의 겹침이음길이를 항복응력에 해당되는 정착길이로 결정한다(Kwon and Lee 2022).
한편 한국의 철근표준 KS D 3504(KATS 2021)는 2007년판(KATS 2007)부터 항복강도가 700 MPa인 SD700 철근 규격을 규정하고 있으나, 설계기준 적용에 대한 연구 자료가 부족한 실정으로 설계기준에서는 항복강도가 600 MPa이하인 철근까지 허용하고 있다. 이 연구에서는 인장 이형철근의 직선 정착 관련 선행연구 실험자료(ACI 408 2014; fib 2005; Hwang 2016; Kwon and Lee 2022)를 이용하여 콘크리트교 설계기준 KDS 24 14 21에 규정된 인장 이형철근 정착길이 설계식의 항복강도 증가에 따른 안전성과 700 MPa급 고강도 철근 적용성을 분석하였다.
2. 인장 이형철근 정착길이 설계기준
2.1 Eurocode 2와 콘크리트교 설계기준 KDS 24 14 21
Eurocode 2(CEN 2004, 2005)와 콘크리트교 설계기준 KDS 24 14 21(KIBSE 2021)은 철근 인장 또는 압축력과 철근 표면 부착력의 평형 조건에 따라 식 (1)로 기본정착길이()를 산정한다. Eurocode 2는 식 (2)와 같이 기본정착길이에 계수 를 곱하여 설계정착길이()를 산정한다. 콘크리트교 설계기준은 식 (3)과 같이 계수 가 추가되는데, Eurocode 2의 한계상태설계법을 도입하는 과정에서 콘크리트구조 설계기준의 표준갈고리 철근 상세를 허용할 목적으로 도입되었다. 직선으로 정착되는 인장 이형철근에 적용하는 의 값은 Table 1에 나타내었으며, 의 값으로는 1.0을 적용한다.
여기서, =철근 지름, =철근의 설계 응력, =이형 철근의 극한부착강도, =철근의 형상, =콘크리트 피복두께, =횡철근에 의한 구속효과, =용접된 횡철근의 영향, =횡방향 압력의 영향에 관계되는 계수이다. 철근 설계응력은 Eurocode 2의 경우 철근 항복강도()를 재료부분안전계수() 1.15로 나누어 결정하며, 콘크리트교 설계기준 KDS 24 14 21의 경우 철근 항복강도에 재료계수() 0.9를 곱하여 결정한다. Table 1에 나타낸 수식의 는 철근 표면에서 콘크리트 표면까지의 최단거리와 철근 순간격의 1/2 중에서 작은 값을 택한다. 수식의 는 Fig. 1에 나타낸 바와 같이 정착되는 철근과 횡철근의 위치에 따라 값을 결정하며, 𝜆는 식 (4)로 산정한다. 여기서 횡철근의 최소 단면적()은 보의 경우 0.25, 슬래브의 경우 0을 적용하며, 는 설계정착길이 내의 횡방향 철근의 단면적이고 는 최대 지름을 가진 정착철근 1개의 단면적이다. 수식의 는 설계정착길이 구간에 작용하는 MPa 단위의 연직방향 압력이다.
Table 1.
Coefficients for design anchorage length of tensile straight bar (CEN 2004, 2005; KIBSE 2021)
| Factor | Value |
| 1.0 | |
| 0.7 | |
2.1.1 Eurocode 2
Eurocode 2(CEN 2004, 2005)의 극한부착강도()는 식 (5)와 같다. 여기서 콘크리트 설계인장강도()는 식 (6)으로 산정하지만, 설계기준압축강도()가 60 MPa일 때의 값 이하로 제한한다. 장기거동과 인장강도에 불리한 영향을 고려하는 계수 는 1.0, 재료부분안전계수 는 1.5를 적용하며, 기준인장강도()는 식 (7)로 산정한다. 콘크리트의 평균압축강도()은 가 50 MPa 이하인 경우에 식 (8), 가 50 MPa을 초과하는 경우에 식 (9)를 적용한다.
식 (5)에서 은 부착조건과 콘크리트 타설 시의 철근 위치에 관계되는 계수이고 는 철근의 지름에 관계되는 계수이다. 부착조건에 따른 의 값과 철근 지름에 따른 의 값은 Table 2에 나타내었다.
Table 2.
Coefficients for ultimate bond stress (CEN 2004, 2005; KIBSE 2021)
| Factor | Conditions | Value |
| Good for bond | 1.0 | |
| Others | 0.7 | |
| ≤32mm | 1.0 | |
| >32mm |
2.1.2 콘크리트교 설계기준 KDS 24 14 21
콘크리트교 설계기준(KIBSE 2021)의 극한부착강도()는 식 (11)로 산정하며, 콘크리트 재료계수()는 0.65를 적용한다. 과 의 값은 Eurocode2와 동일하다. 콘크리트 기준인장강도()는 식 (12)로 산정하지만 가 50 MPa일 때의 값 이하로 제한한다. 콘크리트의 평균인장강도()과 평균압축강도()은 식 (13)과 식 (14)로 결정한다. 여기서 는 가 40 MPa 이하일 때 4 MPa, 가 60 MPa 이상일 때 6 MPa을 적용하고, 40 MPa과 60 MPa 사이는 직선보간한다.
2.2 ACI 318-19와 콘크리트구조 설계기준 KDS 14 20 52
ACI 318-19(2019)의 설계정착길이()는 식 (15)와 같다. 이 식은 Orangun et al.(1975, 1977)의 제안식이 근간이며, 2019년도 개정에서 Gr. 100(항복강도 690 MPa) 철근의 적용이 허용되면서 고강도 철근에 대한 수정계수()가 추가되었다. 는 Gr. 60(420 MPa) 이하 철근에 1.0, Gr. 80(550 MPa) 철근에 1.15, Gr. 100(690 MPa) 철근에 1.3을 적용한다. 고강도 콘크리트는 압축강도()가 더 증가하여도 정착성능이 크게 증가하지 않으므로 값은 100 psi(8.3 MPa)로 제한하며, 철근 뽑힘에 대한 안전을 위하여 값은 2.5 이하로 제한한다. 횡방향철근지수()는 식 (16)으로 산정한다.
여기서, =철근 항복강도, 𝜆=경량콘크리트계수, =철근 위치계수, =철근 도막계수, =철근 크기계수, =철근 중심에서 콘크리트 표면까지 최단거리 또는 철근의 중심간 거리의 절반 중 작은 값, =횡철근의 최대 중심간 간격, =쪼개질 가능성이 있는 면을 가로질러 배치된 간격 이내에 있는 횡철근 전체 단면적, =정착되는 철근의 개수이다.
콘크리트구조 설계기준(KCI 2021)의 설계정착길이()는 식 (17)과 같으며, 일부 표현 방식을 제외하면 2019년도 개정 이전의 ACI 318-14(2014)의 계산식과 내용 상 동일하다. 단, 콘크리트구조 설계기준(KCI 2021)에서는 SD600 철근 적용을 위한 연구결과(KCI 2010)에 따라 설계기준항복강도()가 550 MPa을 초과하는 철근에 대하여 횡철근을 배치하지 않는 경우 가 2.5 이상, 횡철근을 배치하는 경우 가 0.25 이상이면서 가 2.25 이상이도록 규정하고 있다.
여기서, 𝛼=철근 위치계수, 𝛽=철근 도막계수, 𝛾=철근 크기계수, =철근 중심에서 콘크리트 표면까지 최단거리 또는 철근의 중심간 거리의 절반 중 작은 값이다.
2.3 콘크리트교 설계기준과 콘크리트구조 설계기준의 설계정착길이 비교
콘크리트 압축강도를 변수로 하고 철근 항복강도 가 400 MPa인 D25 철근에 대하여 콘크리트교 설계기준 KDS 24 14 21(KIBSE 2021)과 콘크리트구조 설계기준 KDS 14 20 52(KCI 2021)에 따른 설계정착길이를 Fig. 2에 나타내었다. 설계정착길이 내의 횡방향철근 단면적()은 콘크리트교 설계기준 KDS 24 14 21에 규정된 보의 최소 횡철근 단면적인 0.25와 같으면서 가 0.25 이상인 경우로, 는 각각 1.75와 3.0인 경우를 비교하였다. 한계상태설계법의 콘크리트교 설계기준 KDS 24 14 21(KIBSE 2021)은 콘크리트 압축강도()의 2/3 제곱으로 표현하고 상한값을 50 MPa로 제한하는 반면, 강도설계법의 콘크리트구조 설계기준 KDS 14 20 52(KCI 2021)은 의 1/2 제곱으로 표현하고 상한값을 70 MPa로 제한하는 차이가 있다. 가 1.75인 경우에는 Fig. 2(a)에 나타낸 바와 같이 콘크리트교 설계기준 KDS 24 14 21과 콘크리트구조 설계기준 KDS 14 20 52의 정착길이 계산결과가 비슷하다고 할 수 있다. Fig. 2(b)와 같이 가 3.0으로 증가하면 콘크리트교 설계기준 KDS 24 14 21의 정착길이는 더 짧게 계산되는 반면, 콘크리트구조 설계기준 KDS 14 20 52는 의 값이 2.5 이하로 제한되어 가 1.75인 경우와 동일한 결과를 보인다.
3. 콘크리트교 설계기준 KDS 24 14 21의 설계정착길이 평가
3.1 선행연구 실험자료
이 연구에서는 ACI Committee 408과 fib TG 4.5가 제공하고 있는 철근 정착 실험 데이터베이스(ACI-408 2014; fib 2005)와 국내에서 수행된 실험자료(Hwang 2016; Kwon and Lee 2022)를 선별하여 콘크리트교 설계기준 KDS 24 14 21(KIBSE 2021)의 인장 이형철근의 설계정착길이 계산식을 분석하였다. 실험자료의 변수 범위는 다음과 같으며, 2)항이 정착파괴가 발생한 철근 응력이므로 로 표현하였지만 설계기준에서는 철근의 설계기준항복강도 로 나타내고 있음을 밝혀둔다.
1) 콘크리트 압축강도 : 18 MPa ≤ < 120 MPa
2) 정착파괴가 발생한 철근 응력 : 300 MPa ≤ < 820 MPa
3) 정착되거나 이어지는 철근의 수 : ≥ 2
4) 정착되거나 이어지는 철근의 지름 : 12 mm ≤ < 32 mm
5) 콘크리트 피복두께 또는 철근 순간격의 절반 중 작은 값 :
6) 정착길이 내의 횡방향 철근 단면적 : 0 ≤
분석에 반영한 실험자료 개수는 ACI 408 데이터베이스(ACI-408 2014)에서 223개, fib TG 4.5 데이터베이스(fib 2005)에서 32개, Hwang(2016)의 연구에서 6개, Kwon and Lee(2022)의 연구에서 24개로서, 총 285개이다. 횡방향 철근 배치여부로 구분하면 비횡구속 실험자료는 105개, 횡구속 실험자료는 180개이며, 분석 목적에 따라 선별하여 적용하였다.
3.2 직선 정착 영향인자 분석
3.2.1 철근 항복강도와 정착길이의 관계
철근 항복강도와 정착길이 사이의 일반적인 경향을 파악하기 위하여 콘크리트 압축강도가 25 MPa 이상 45 MPa 미만이며 의 값이 1.0 이상 2.5 미만인 비횡구속 실험자료를 4개의 그룹으로 구분하여 Fig. 3에 나타내었고, 콘크리트 압축강도 평균값과 평균값을 적용한 콘크리트교 설계기준 KDS 24 14 21의 설계정착길이와 비교하였다. Fig. 3의 (a)와 (b)는 콘크리트 압축강도가 낮은 경우이고 (c)와 (d)는 상대적으로 높은 경우로, 피복두께가 얇은 경우와 두꺼운 경우로 구분한 것이다. 그림에 나타난 바와 같이 대부분의 실험자료는 설계기준 식과 유사하며, 철근 항복강도와 정착길이의 관계는 완벽한 선형 비례 관계는 아니지만 그와 유사하다고 해도 큰 무리는 없을 것으로 생각된다.
3.2.2 콘크리트 압축강도와 부착강도의 관계
값이 1.0 이상 2.5 미만인 범위의 비횡구속 실험자료와 값이 0.25 이상 0.5 미만인 횡구속 실험자료를 4개 그룹으로 구분하여 콘크리트 압축강도와 부착강도의 관계를 Fig. 4에 나타내었다. 부착강도 실험값()은 식 (18)에 따라 산정하였으며, 평균값과 평균값을 적용하여 식 (19)에 따라 산정한 부착강도()와 비교하였다.
전반적으로 콘크리트 압축강도가 70 MPa 미만인 실험자료는 모든 그룹에서 설계정착길이 계산식과 유사한 경향을 보인 반면, 콘크리트 압축강도가 70 MPa 이상인 실험자료는 피복두께 또는 횡방향 철근량에 따라 다른 경향이 나타났다. 피복두께가 얇은 비횡구속 실험자료는 Fig. 4(a)와 같이 콘크리트 압축강도가 증가할수록 부착강도 실험값이 설계정착길이 계산식보다 작아지는 경향이 보이며, 피복두께가 충분히 두껍고 횡방향 철근이 배치된 경우는 Fig. 4(d)와 같이 콘크리트 압축강도가 증가하더라도 부착강도 실험값이 설계정착길이 계산식의 값을 상회하는 결과를 보인다.
3.3 설계정착길이 계산식과 실험값의 경향 분석
3.3.1 콘크리트 피복두께의 영향
Fig. 5는 철근지름에 대한 피복두께 비()에 따른 설계정착길이/실험값과 경향을 나타내며, Table 3은 그에 대한 통계 분석 결과이다. 횡방향 철근 영향을 배제하고 피복두께에 따른 영향을 분석하기 위해 Fig. 5(a)에는 횡방향 철근이 배치되지 않은 실험자료를 나타내었고, 최소한의 횡방향 철근이 배치된 경우와 비교하기 위해 Fig. 5(b)에는 의 값이 0.25 이상 0.5 미만인 범위 내에 있는 실험자료를 나타내었다. 보의 최소 횡방향 철근은 2.1에서 소개한 바와 같이 0.25로 의 값 0.25를 의미한다. Fig. 5(a)와 같이 철근 응력이 550 MPa 미만인 경우는 의 값에 관계없이 설계정착길이/실험값이 일정하게 나타난 반면, 철근 응력이 550 MPa 이상인 실험 자료는 의 값이 1.0인 경우 설계정착길이/실험값이 1.0보다 작으며 의 값이 증가할수록 설계정착길이/실험값이 증가하는 경향을 보인다. 철근 응력이 550 MPa 이상일 때의 이와 같은 경향은 최소한의 횡구속 철근이 배치된 Fig. 5(b)에서도 나타난다. Table 3의 통계 분석 결과를 보면, 철근 응력이 550 MPa 이상이면서 최소한의 횡방향 철근이 배치된 실험자료는 의 값이 1.75 미만인 경우의 최댓값, 평균값, 최솟값이 각각 1.32, 1.12, 0.78이며, 의 값이 1.75 이상인 경우의 최댓값, 평균값, 최솟값은 1.57, 1.32, 1.09로 증가되는 것으로 나타났다. 즉, 항복강도 550 MPa 이상인 고강도 철근에 대하여 콘크리트교 설계기준 KDS 24 14 21(KIBSE 2021)에 규정된 최소 횡방향 철근을 배치하더라도 피복두께가 충분히 확보되지 않으면 철근 정착의 안전율이 보통강도 철근의 경우에 비하여 저하될 수 있을 것이다.
Table 3.
Statistical distribution of by and
| Parameter | =0 | 0.25≤<0.5 | |||||||||||
| N | Max | Mean | Min | SD1) | CV2) | N | Max | Mean | Min | SD1) | CV2) | ||
| <550MPa | <1.75 | 53 | 1.49 | 1.03 | 0.59 | 0.26 | 0.25 | 38 | 2.87 | 1.35 | 0.82 | 0.44 | 0.32 |
| ≥1.75 | 34 | 1.31 | 0.94 | 0.62 | 0.15 | 0.16 | 23 | 1.45 | 1.15 | 0.85 | 0.14 | 0.12 | |
| ≥550MPa | <1.75 | 9 | 1.03 | 0.80 | 0.60 | 0.13 | 0.17 | 6 | 1.32 | 1.12 | 0.78 | 0.24 | 0.21 |
| ≥1.75 | 9 | 1.47 | 1.19 | 0.90 | 0.18 | 0.16 | 4 | 1.57 | 1.32 | 1.09 | 0.20 | 0.15 | |
3.3.2 횡방향 철근량의 영향
Fig. 6은 철근지름에 대한 피복두께 비()의 값이 1.0 이상 1.75 미만인 범위와 1.75 이상 2.5 미만인 범위의 횡구속 실험자료에 대하여 값에 따른 설계정착길이/실험값의 경향을 나타낸 것이며, Table 4는 그에 대한 통계 분석 결과이다. Fig. 6(a)와 같이 철근 응력이 550 MPa 미만일 때는 값에 관계없이 설계정착길이/실험값이 일정하게 나타났으며, 철근 응력이 550 MPa 이상일 때는 값이 증가함에 따라 설계정착길이/실험값이 다소 증가하는 경향이 보인다. Table 4의 통계 분석 결과를 보면, 철근 응력이 550 MPa 이상이면서 값이 1.0 이상 1.75 미만인 범위의 실험자료에서 값이 0.75 미만인 경우의 최댓값, 평균값, 최솟값은 각각 1.32, 1.09, 0.78이며, 값이 0.75 이상인 경우의 최댓값, 평균값, 최솟값은 각각 1.85, 1.19, 0.70으로 약간 증가하지만, 설계정착길이 안전율이 철근 응력 550 MPa 미만인 실험자료에 비하여 다소 낮은 수준으로 나타났다. 반면에 철근 응력이 550 MPa 이상이면서 값이 1.75 이상 2.5 미만인 범위의 실험자료에 대하여 값이 0.75 미만인 경우의 최댓값, 평균값, 최솟값은 각각 1.58, 1.35, 1.09이며, 값이 0.75 이상인 경우의 최댓값, 평균값, 최솟값은 각각 1.60, 1.34, 1.08로서 값에 대하여 일정한 경향이 보이며, 철근 응력 550 MPa 미만인 실험자료와 유사한 수준의 안전율을 확보하는 것으로 나타났다.
Table 4.
Statistical distribution of by and
| Parameter | 1.0≤<1.75 | 1.75≤<2.5 | |||||||||||
| N | Max | Mean | Min | SD1) | CV2) | N | Max | Mean | Min | SD1) | CV2) | ||
| <550MPa | <0.75 | 66 | 2.87 | 1.33 | 0.82 | 0.39 | 0.29 | 35 | 1.46 | 1.16 | 0.85 | 0.14 | 0.12 |
| ≥0.75 | 31 | 1.93 | 1.35 | 0.96 | 0.25 | 0.19 | 3 | 1.36 | 1.30 | 1.20 | 0.09 | 0.07 | |
| ≥550MPa | <0.75 | 15 | 1.32 | 1.09 | 0.78 | 0.17 | 0.15 | 7 | 1.58 | 1.35 | 1.09 | 0.20 | 0.15 |
| ≥0.75 | 18 | 1.85 | 1.19 | 0.70 | 0.30 | 0.25 | 2 | 1.60 | 1.34 | 1.08 | 0.36 | 0.27 | |
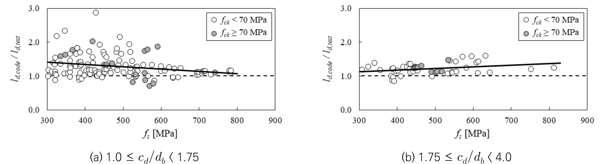
3.3.3 철근 항복강도의 영향
Fig. 7은 값이 0.25 이상으로 콘크리트교 설계기준 KDS 24 14 21의 최소 횡방향 철근량 이상이 배치된 실험자료를 값 1.0 이상 1.75 미만의 범위와 1.75 이상 4.0 미만의 범위로 나누어 철근 응력에 따른 설계정착길이/실험값을 나타낸 것으로, Table 5는 그에 대한 통계 분석 결과이다. Fig. 7(a)와 같이 의 값이 1.75 미만일 때는 철근 응력이 증가함에 따라 설계정착길이/실험값이 감소하는 경향을 보이는 반면, Fig. 7(b)와 같이 의 값이 1.75 이상일 때는 철근 응력이 증가함에 따라 설계정착길이/실험값이 증가하는 경향을 보인다. 콘크리트 압축강도가 70 MPa 미만인 경우와 70 MPa 이상인 경우로 구분하더라도 철근 응력 증가에 따른 경향은 유사하다고 할 수 있다.
Table 5의 통계 분석 결과를 보면, 콘크리트 압축강도가 70 MPa 미만이면서 값이 1.75 미만인 실험자료는 철근 응력 300 MPa 이상 500 MPa 미만인 범위에서 최댓값, 평균값, 최솟값이 각각 2.87, 1.34, 0.87이며, 철근 응력 700 MPa 이상 820 MPa 미만인 범위에서는 1.16, 1.10, 1.03으로 감소하는 결과를 보인다. 동일한 콘크리트 압축강도의 범위에서 값이 1.75 이상인 실험자료는 철근 응력 300 MPa 이상 500 MPa 미만인 범위에서 최댓값, 평균값, 최솟값이 각각 1.38, 1.14, 0.85이며, 철근 응력 700 MPa 이상 820 MPa 미만인 범위에서는 1.23, 1.22, 1.20으로 증가하는 결과를 보인다. 콘크리트 압축강도가 70 MPa 이상인 실험자료는 결론을 도출할 만큼 자료수가 충분하지는 않지만, 철근 응력 300 MPa 이상 600 MPa 미만인 범위에서는 유사한 분포의 통계 값을 보인다고 할 수 있다.
Table 5.
Statistical distribution of by and ( ≥ 0.25)
| Parameter | 1.0≤<1.75 | 1.75≤<4.0 | |||||||||||
| N | Max | Mean | Min | SD1) | CV2) | N | Max | Mean | Min | SD1) | CV2) | ||
| <70MPa | 300MPa≤<500MPa | 73 | 2.87 | 1.34 | 0.87 | 0.37 | 0.27 | 22 | 1.38 | 1.14 | 0.85 | 0.15 | 0.13 |
| 500MPa≤<600MPa | 18 | 1.93 | 1.23 | 0.86 | 0.27 | 0.22 | 10 | 1.58 | 1.28 | 1.07 | 0.20 | 0.16 | |
| 600MPa≤<700MPa | 11 | 1.28 | 1.11 | 0.94 | 0.12 | 0.11 | 5 | 1.60 | 1.32 | 1.08 | 0.22 | 0.17 | |
| 700MPa≤<820MPa | 10 | 1.16 | 1.10 | 1.03 | 0.05 | 0.04 | 2 | 1.23 | 1.22 | 1.20 | 0.03 | 0.02 | |
| ≥70MPa | 300MPa≤<500MPa | 7 | 2.02 | 1.57 | 1.33 | 0.26 | 0.16 | 7 | 1.29 | 1.23 | 1.11 | 0.06 | 0.05 |
| 500MPa≤<600MPa | 9 | 1.85 | 1.18 | 0.70 | 0.47 | 0.40 | 4 | 1.46 | 1.20 | 1.10 | 0.17 | 0.14 | |
| 600MPa≤<700MPa | - | - | - | - | - | - | - | - | - | - | - | - | |
| 700MPa≤<820MPa | 1 | 1.10 | 1.10 | 1.10 | - | - | - | - | - | - | - | - | |
3.4 철근 항복강도 증가에 따른 안전성 분석
압축강도 70 MPa 이상의 고강도 콘크리트이며 철근 응력이 600 MPa 이상인 자료는 자료수가 충분하지 않으므로 분석 대상에서 제외하고, 콘크리트교 설계기준 KDS 24 14 21에 규정된 최소 횡방향 철근량 0.25 이상의 횡방향 철근이 배치된 실험 자료를 대상으로 철근 응력을 4가지 범위로 구분한 설계정착길이/실험값의 빈도분포를 Fig. 8에 나타내었다.
Fig. 8에 보이는 바와 같이 설계정착길이가 실험값보다 작게 나타날 확률은 철근 응력 300 MPa 이상 500 MPa 미만인 범위에서 16 %, 철근 응력 500 MPa 이상 600 MPa 미만인 범위에서 11 %, 철근 응력 600 MPa 이상 700 MPa 미만인 범위에서 19 %이며, 철근 응력 700 MPa 이상 820 MPa 미만인 범위에서는 모두 설계정착길이가 실험값 이상으로 나타났다.
4. 결 론
이 연구에서는 총 285개의 직선 인장 이형철근의 정착성능 실험결과(ACI 408 2014; fib 2005; Hwang 2016; Kwon and Lee 2022)를 대상으로 콘크리트교 설계기준 KDS 24 14 21(KIBSE 2021)에 규정된 설계정착길이 계산식의 정확도 및 안전성과 고강도 철근에 대한 적용성을 분석하였으며, 다음과 같은 결론을 도출하였다.
1) 정착되는 철근 단면적에 대한 횡방향 철근 단면적의 비율()이 0.25 이상으로 콘크리트교 설계기준 KDS 24 14 21의 최소 횡방향 철근량 규정 요건을 만족하는 실험자료는 철근지름에 대한 피복두께 비()의 값이 1.75 미만일 때 철근 항복강도가 증가함에 따라 설계정착길이/실험값이 감소하는 경향을 보이는 반면, 의 값이 1.75 이상일 때는 철근 항복강도가 증가함에 따라 설계정착길이/실험값이 증가하는 경향을 보인다. 따라서 피복두께와 철근 순간격을 충분히 확보하고 정착길이 내에 배치하는 횡방향 철근량을 증가시키면 고강도 철근에 대한 설계정착길이 계산식의 안전성이 증가한다고 할 수 있다. 다만 항복강도 550 MPa 이상인 고강도 철근에 대하여 콘크리트교 설계기준 KDS 24 14 21(KIBSE 2021)에 규정된 최소 횡방향 철근을 배치하더라도 피복두께가 충분히 확보되지 않으면 철근 정착의 안전율이 보통강도 철근의 경우에 비하여 저하될 수 있을 것이다.
2) 항복강도가 최대 600 MPa인 철근까지 적용하도록 규정된 콘크리트교 설계기준 KDS 24 14 21의 설계정착길이 수식은 항복강도가 500 MPa 이상 600 MPa 이하의 철근에 대하여 항복강도 500 MPa 미만의 철근과 유사한 안전율을 제공하며, 항복강도 700 MPa급 철근에 대해서도 안전측으로 나타났다. 따라서 이 설계정착길이 계산식은 항복강도 700 MPa급 철근에도 적용 가능한 것으로 판단된다.










